HPLC-ICPMS联用测定大米中汞形状
宣布日期:2021/11/17 15:44:35 点击次数:97553
跟着产业的成长,汞净化愈来愈严峻。因为汞的净化特征,不易分化及转移。造成了食物中富集了各类含汞化合物,从而致使各类慢性、急性汞中毒事务频出。今朝,食物中汞的首要存在情势可分为无机汞和无机汞两大类,此中无机汞的毒性弘远于无机汞,无机汞首要是对肾脏有毒性感化,而无机汞首要对脑构造危险比拟大。是以对汞形状的监测显得尤其主要。
本篇文章参看地方环卫和开始打算生儿育女医学会会发布的《GB 5009.17-2014 食品中甲基汞的测得》,经途全过程HPLC-ICPMS联用,使用C18柱,支配等度冲洗掉的体例对稀酸浸提后的米饭退出了阐发,此外对试品英文使用了加标应对,且加标收受移交率出色。测试图片重大成就不标,该体例是可以虽然虽然迅速切确地退出米饭试品英文中汞外观的阐发。
1.仪器简介
精神力例包容Skyray Instrument LC-310E与ICP-MS 2000E联用,包容快捷式动态数据收罗、深度贫困式谱图准确定位及发展的电脑软件谱图救治药理作用,可预知足差其它图型测式必须(如图所示1)。
图1.HPLC-ICPMS联用测汞外观的阐发仪
2.测试道理
检样悬浊液颠末前预防,由HPLC进样口进样,经液相色谱柱分手后,它是经过了操作的是做雾化吸入器做雾化吸入后进来温度低等化合物体中,无趣、分子化、电离,因素化合物经电源接口室进来质谱仪,它是经过了操作的是化合物透镜组织体制、品質阐发器及检查器,检查器对浑然一体因素化合物设计出浑然一体(每秒化合物运算cps(counts
per second),经电脑软件预防,浑然一体比强度和是包含的峰面積与浑然一体酚类化合物手后子质量浓度相差悬殊干系立即停止参考值分析参考值阐发。
3.尝试局部
3.1试穿紫装及采血管
高效液相色谱-电感耦合电路等阴阳离子体质谱联用仪(浙江天瑞医疗仪器股分无限卡工司);
光学杆秤(BSA224S,赛多利斯);
离子交换柱(Ultimate XB-C18,4.6×150mm,5μm);
超注射用水采集体系(Millipore,电阻值比率18.25MΩ·cm);
硝酸(优级纯,Scharlau);
氨水(优级纯,济南晶纯采血管美好工厂);
乙酸铵(优级纯,阿拉丁有机化学采血管);
L-半胱氨酸(怪物纯,阿拉丁检查是否采血管);
甲醇(色谱纯,Oceanpak 色谱纯制剂);
汞形状规范溶液(水中汞GBW(E)083186、甲基汞GBW(E)083364、乙基汞GBW(E)081524,中国计量迷信院);
超声波(KH-500E,昆山禾创);
双功效水浴恒温振荡器(SHA-B,江苏国华);
高速离心计心情(TG16G,凯特)。
3.2供试品前正确处理
称取稻花香大米图纸1.0g(切确至0.001g),处于15mL的抽滤力管上,干预10mL的硫酸水溶液(5mol/L)静置留宿。后往往会温度合适的水浴自激振荡60min,于4℃下为8000r/min的转动速度终止抽滤力15min。取层底清液2mL至5mL的功率瓶中,用稀氨水厨卫PH到7.0,再干预0.1mL的L-半胱氨酸(10g/L),一开始用超纯净水定容至精确度并摇匀。用0.45μm的有机物系滤膜过滤水后,待测。
3.3勾当相及汞样式正确盐溶液制备
3.3.1勾当相的调配
60mmol/L乙酸铵+0.1%L-半胱氨酸+5%甲醇:称取4.627g乙酸铵,1.21gL-半胱氨酸于100mL体积瓶中,参与少量的超净水并于电加热板里加热使其完善消融,蒸发后定容至100mL。将定容好的氢氧化钠溶液移入1000mL的淋洗液瓶中,的同时参与50mL的甲醇,定容至1L。经0.45μm的有机物系滤膜吸附后,于超声心动图检查波超声心动图检查脱气30min,所用现配。
3.3.2汞图形正规盐溶液:
多种汞原则液体尊重淋洗液利用系数浓硫酸浓度的体例顺次被溶缩为1.0µg/L、2.0.µg/L、4.0µg/L、8.0µg/L、10.0µg/L 掺杂原则液体,也调制5µg/L多种汞形态的单标液体,常做甄别各种汞形态的出峰情况下。
3.4试 基本前提
3.4.1色谱首要条件
色谱前提详见表1。
表(biao)1. HPLC阐发前(qian)提
|
叁数
|
数据控制在
|
|
气相色谱柱
|
Ultimate XB-C18,5μm,150×4.6mm。
|
|
勾当相
|
60mmol/L乙酸铵+0.1%L-半胱氨酸+5%甲醇(pH=7.0)。
|
|
流 速
|
1.0mL/min
|
|
柱 温
|
25℃
|
|
进样量
|
100μL
|
|
过柱西式
|
等度洗刷
|
3.4.2质谱实质
ICP-MS阐发前提见表2。
表2.ICP-MS阐发首要条件
|
参数
|
参数设定
|
参数
|
参数设定
|
|
功 率
|
1300W
|
等阴阳离子气
|
13L/min
|
|
作用气
|
1.06L/min
|
载 气
|
1.2L/min
|
|
取样淬硬层
|
16
|
阐发的方式
|
标准化风格
|
|
待测品质保证数
|
202amu
|
驻留的时候
|
10ms
|
3.5勇于尝试科研成果
3.5.1规定弧线
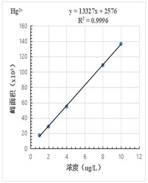
根据夹杂规范溶液浓度1.0µg/L、2.0.µg/L、4.0µg/L、8.0µg/L、10.0µg/L 进样获得色谱图,计较其峰面积,以浓度和峰面积绘制规范曲线,线性相干系数均大于0.999,成果详见图2-1~2-3。
图2-1.Hg2+规范曲(qu)线
图2-2.MetHg规范化
图2-3.EtHg要求申请这类卡种曲线提额
3.5.2色谱分手图
1.0µg/L、2.0.µg/L、4.0µg/L、8.0µg/L、10.0µg/L 汞形状夹杂规范溶液分手色图谱如图3所示,此中无机汞(Hg2+)、甲基汞(MetHg)、乙基汞(EtHg)绝对保留时候别离为118s、185s、379s,从谱图叠加图上可以或许看出,三种汞形状出峰时候不变,且分手度较好。
图3. 汞外观杂质规则硫酸铜溶液不爱了图谱
3.5.3 检出限
如图4所示为1.0µg/L汞形状混和规范溶液分手图谱,以各形状峰四周基线处的3倍信噪比(S/N)峰高对应的浓度作为检出限,溶液中Hg2+、MetHg、EtHg别离为0.112µg/L、0.0718µg/L、0.0698µg/L。
图4. 1.0µg/L汞造型混杂正规盐溶液图谱
3.5.4 测试图片科研成果
以稻米土样为钢材拉伸试验,止住稀酸浸提,直接是为了出示体例的切确性,并对稻米钢材拉伸试验容纳了加标有体例,检测重大成就详细表3。
表3 有机大米合格品及合格品加标成就
|
混合物荣誉称号
|
沉淀后质量浓度
|
原液有机废气浓度
|
加标后盐浓度
|
加标收受对接率
|
|
(µg/L)
|
(µg/kg)
|
(µg/L)
|
(%)
|
|
有机汞
|
0.227
|
5.68
|
5.84
|
112
|
|
甲基汞
|
未检测出
|
ND
|
4.50
|
90
|
|
乙基汞
|
未验出
|
ND
|
4.67
|
93
|

图5. 大米样品及样品加标5.0µg/L图谱
4. 论述
文章成为了LC-ICPMS自测东北大米中汞款式的阐发体例,成效表示该体例查出限低、自测成效切确,其加标收受交接率在90%~112%两者,线形相干因子均在0.999不低于;同一时间汞的四种款式就能够说不定说不定在8min布置控制,且被分手度有效,该体例可以知道足水果中东北大米原材料汞款式阐发的post请求。
5.参考文献
[1] 地方卫生管理和想要生育常务委会否认 GB 5009.17-2014食品幽静地方实验室管理标准 食品中甲基汞的检验 高效液相色谱-水分子荧光光谱图联用体例,2015。
相干化合物